Listado de artículos

Vacuolas
Las vacuolas son estructuras constituidas por una membrana y un...

Vacuómetro
El vacuómetro es un instrumento que es utilizado para poder...

Valentín Gómez Farías
Valentín Gómez Farías fue un reconocido político y médico que...

Valentina Tereshkova
Valentina Tereshkova fue la primera mujer que logró tripular una nave...

Valle
Un valle es una depresión que se da en el terreno que se...

Valle-Inclán
Valle-Inclán fue un reconocido poeta, dramaturgo y novelista de...

Vallenato
El vallenato es un estilo musical proveniente de la costa Caribe...

Valor absoluto
El valor absoluto de un número real sin importar cuál sea es el mismo número...

Valor actual
El valor actual es un criterio de inversión en el área...

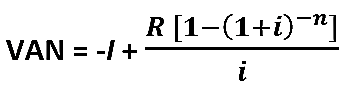
Valor presente neto
El valor presente neto es el tipo de método más utilizado...

Valores éticos
Los valores éticos son un grupo de consideraciones ideales que...

Valores familiares
Los valores familiares son los primeros valores que los niños...