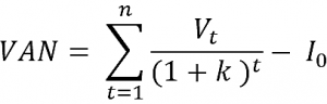
Cómo se calcula el valor actual
Si queremos obtener este valor, debemos aplicar la fórmula para para calcular el VAN:

- Vt representa los flujos de caja en cada periodo t.
- Io es el valor del desembolso inicial de la inversión.
- n es el número de períodos considerado.
Formula
La fórmula para calcular el valor actual es la siguiente:
VP= Fn/(1+r)n
Ahora si recibimos varios flujos de dinero en distintos períodos tenemos:
VP= F0 + F1/(1+r) + F2/(1+r)2 + …. + Fn/(1+r)n
Donde:
Fi= Flujos (i=0,1,2, 3…n)
r= tasa de descuento
Interpretación
El valor actual es un aspecto de suma importancia para la adecuada valoración de las inversiones en los diferentes activos fijos. Si su valor es mayor a cero, esto quiere decir que el proyecto es completamente rentable, esto considerando el valor mínimo de rendimiento para la inversión.
El valor actual de una empresa generalmente tiende a comparar las diferentes alternativas que hay para comprobar si un proyecto en realidad conviene o no. Por lo general, la alternativa con el valor actual más alto es la mejor opción para la entidad o empresa; aunque esto también puede llegar a cambiar.
Existen algunos momentos en los que la empresa elige un proyecto con un valor actual más bajo, y esto lo hace debido a diferentes razones como podrían ser la imagen que le aportará a la empresa, por motivos estratégicos u otros motivos que en ese momento interesen a dicha entidad.
Esta interpretación del valor actual también puede ser considerado en función a la creación de valor para la empresa:
- Si el VAN de un proyecto es positivo, el proyecto crea valor.
- Si el VAN de un proyecto es negativo, el proyecto destruye valor.
- Si el VAN de un proyecto es cero, el proyecto no crea ni destruye valor.
Ventajas del valor actual
Las principales ventajas del valor actual son las siguientes:
- Contabiliza la variación del valor del dinero en el tiempo, lo que se conoce como inflación.
- Su uso aplica a diferentes y numerosas empresas.
- Permite introducir variables que afectan la inversión, por ejemplo, la inflación, la fiscalidad o el riesgo de negocio.
- Es muy sencilla de aplicar pues utiliza operaciones matemáticas elementales.
- Considera el valor del dinero en el tiempo lo que permite que el sujeto decisor impute a cada unidad monetaria un diferente valor, en función del momento en que esté disponible para él, haciendo que exista homogenización de cantidades heterogéneas y permitiéndose, por tanto, la comparación entre ellas.
Desventajas
Entre las desventajas de utilizar el valor actual mencionamos las siguientes:
- Se deben hacer muchas hipótesis para su cálculo como por ejemplo ventas a futuro, el número de años de vida de la empresa, etc. Para poder escoger la tasa más adecuada.
- Se da una dificultad para establecer el valor óptimo de la tasa de actualización.
- Se deben estimar una nueva variable, la tasa de actualización K, lo cual en la mayoría de los casos no constituye una tarea fácil.
- Le permite al inversionista que trabaja de forma individual poder comparar dos proyectos de inversión que tienen igual salida de efectivo.
- Permite mostrar las opciones de inversión a los accionistas.
- Expresa entradas de efectivo y salidas en el valor actual que tiene la moneda usada por el inversionista.
- Un cálculo del valor actual incorpora el valor presente del desembolso de capital inicial para un determinado proyecto, el flujo de efectivo para un período futuro determinado y la vida útil proyectada del proyecto.
Ejemplos
Pablo le pide a Marcos que le alquile su vehículo por 3 meses, y que se alquile a un pago mensual de 5000 euros, tomando en cuenta que el primer pago será realizado el día de hoy. Luego de este tiempo le comprará el vehículo por 45000 euros. El costo de oportunidad de Juan es de un 5% mensual. ¿Cuál es el valor actual del proyecto?
Calculamos el valor actual:
VA= 5000 + 5000/(1+5%) + 5000/(1+5%)2 + 45000/(1+5%)3
VA= 53170 (valor aproximado)





