Definición
El valor presente neto o el VPN (por sus siglas) es la diferencia que existe entre el valor presente de las entradas de efectivo y el valor presente de las salidas de efectivo a lo largo de un período de tiempo determinado. El valor presente neto es usado dentro del presupuesto de capital para lograr realizar un análisis sobre la rentabilidad de una inversión o de un proyecto planeado.
El valor actual neto entonces es el valor presente que poseen los flujos de efectivo a la tasa de rendimiento requerida de su proyecto en comparación con su inversión inicial. En términos un poco menos técnico podemos decir que es un método para poder hacer un cálculo del retorno de la inversión. Cuando se logra analizar la cantidad de dinero que se espera obtener de la inversión y se traduce esos rendimientos en dólares actuales, podemos saber y decidir si el proyecto vale la pena.
Para qué sirve el valor presente neto
El valor presentado neto nos sirve para poder determinar cuando una inversión logra cumplir el objetivo básico financiero, que siempre será el de potenciar al máximo la inversión. Permite también conocer y determinar si una inversión puede llegar a aumentar o a reducir el valor de las Pymes, indicando si es positivo, negativo o neutro.
Es también utilizado cuando un gerente necesita hacer comparaciones sobre determinados proyectos y decidir cuáles debe de seguir. El valor presente neto, a menudo denominado VAN, es la herramienta preferida por la mayoría de los analistas financieros principalmente por dos razones, la primera porque el valor presente neto considera el valor del dinero en el tiempo, traduciendo los flujos de efectivo futuros en dólares de hoy; y la segunda razón es porque proporciona un número concreto que los gerentes pueden usar para comparar fácilmente un desembolso inicial de efectivo con el valor presente de la rentabilidad.
Interpretación
El valor presente neto se interpreta como una técnica de cálculo central que se usa principalmente en la administración de empresas y las finanzas, contabilidad y economía para medir diferentes tipos de variables. En términos más sencillo en el lenguaje popular podemos decir que es una acción que consiste en tomar todo el dinero que una empresa espera obtener a partir de una inversión determinada y trasladar esos retornos a valores del día de hoy para así poder decidir si la inversión vale o no la pena realizarla
Fórmula del valor presente neto
La fórmula para poder calcular el valor presente neto de una empresa es la siguiente:

En donde:
- Io: representa la inversión inicial previa o el monto del desembolso que la empresa hará cuando inicie la inversión.
- Ft: son los flujos netos de efectivo que representan la diferencia entre los ingresos y gastos obtenidos por la ejecución de un proyecto de inversión a lo largo de su vida útil.
- K: es la tasa de descuento conocida como costo o tasa de oportunidad y refleja la oportunidad perdida de gastar o invertir en el presente.
- N: es el número de periodos que dura el proyecto.
- T: periodos
Rentas fijas
Cuando los flujos que hay en la caja son montos fijos se usa la siguiente fórmula:

Donde
- R: es el flujo de caja constante
- i: es el coste de oportunidad o rentabilidad mínima que se le exige al proyecto.
- n: es el número de periodos
- I: inversión inicial del proyecto
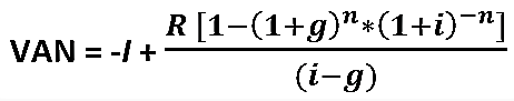
Rentas crecientes
Sucede cuando las rentas no son fijas y se pueden incrementar con una tasa de crecimiento “g”. La fórmula es la siguiente:

Donde:
- R es el flujo de caja del primer período.
- i es el coste de oportunidad o rentabilidad mínima del proyecto.
- g es el índice de incremento en el valor de la renta de cada período.
- n es el número de periodos.
- I es la Inversión inicial necesaria para llevar a cabo el proyecto
Ventajas
Una de las principales ventajas que tiene es que para hacer el cálculo únicamente se necesitan operaciones matemáticas simples, puede contabilizar la variación del «valor del dinero» en el tiempo que es lo que conocemos como inflación, y además, su uso y entendimiento es extendido.
Desventajas
Algunas de las desventajas son las siguientes:
- Las inversiones que tienen el mismo valor presente neto tienen una vida proyectada diferente y valores de recuperación diferentes.
- Las inversiones con el mismo valor presente neto pueden tener flujos de efectivo diferentes.
- Se supone que conocemos las tasas de interés en el futuro, lo cual no es cierto.
- Los pagos siempre se realizan al final de periodo lo cual no siempre sucede.
Ejemplos del valor presente neto
Un ejemplo del valor presente neto es:
Se debe decidir si hacer una edición especial de zapatos. Los flujos proyectados del producto son $20,000 en el primer año, $40,000 para los siguientes dos años, y $10,000 para el cuarto año. Iniciar este proyecto costará $50,000 y los zapatos requiere un 10% de rendimiento. Después de cuatro años los zapatos ya no serán producidos y no se venderá más, pues el modelo será viejo.
Solución:
VPN = – 50,000 + (20,000/1.10) + (40,000/1.102) + (40,000/1.103) + (10,000/1.104)
VPN= – 50,000 + 18,181.8 + 33,057.9 + 30,052.6 + 6,830.1
VPN= $ 38,122.4
El VPN del proyecto es positivo, por lo que califica para invertir en él siempre y cuando no existan otros con un VPN mayor.





