Descubrimiento de la radiación de Hawking
El descubrimiento de Stephen Hawking y su radiación se inició con una pregunta muy simple: ¿los agujeros negros emiten calor? Tiempo atrás se había determinado que los agujeros negros se apegaban a la segunda ley de la termodinámica, lo que significa que la entropía o la medida de desorden únicamente podía aumentar con el tiempo y, por consiguiente, todo lo que tiene entropía también debía de tener temperatura.
En la década de 1970, Hawking, ayudándose por medio de las matemáticas, se podría decir que tomó la temperatura de un agujero negro. Esto lo logró mezclando una serie de ideas de la teoría de la relatividad de Einstein y de la mecánica cuántica la cual se encarga de describir la forma en la que funcionan los componentes más pequeños del universo.
Estas son las dos principales teorías que buscan encontrar la forma en cómo funciona el universo y que han sido buscadas por los científicos por décadas. Y ambas teorías entran en juego en el horizonte de sucesos de un agujero negro, el límite más allá del cual la gravedad es tan fuerte que ni siquiera la luz puede escapar.
Explicación
Esta teoría revolucionó el conocimiento de los agujeros negros. Basándose en la Relatividad General publicada por Albert Einstein, se pensó que nada podía escaparse de los agujeros negros. Pero Hawking afirmó en 1975 que los agujeros negros eran capaces de emitir radiación, un fenómeno que fue bautizado “radiación de Hawking”.
Surge como un resultado entre la relatividad general y la mecánica cuántica o gravitación cuántica. Esta teoría nos dice que los agujeros negros, no son del todo negros, sino que por el contrario pueden emitir radiación, que es la que conocemos con el nombre de radiación de Hawking.
No existe aún una teoría sobre la gravedad cuántica, pero sí existe un primer intento por conocer cuáles son los efectos cuánticos sobre las partículas y la radiación que hay en el espacio. Hawking relacionó los conceptos cuánticos con la relatividad general en el estudio de los agujeros negros en el año 1975 y descubrió una importante relación entre la gravedad y la termodinámica que conduce a la radiación de Hawking.
Además, para entender la radiación de Hawking debemos también entender que el vacío no existe, y la mecánica cuántica es la que nos dice que el vacío se encuentra repleto de partículas virtuales. Las partículas virtuales son exactamente iguales a las reales, con la única diferencia que aparecen y desaparecen en periodos de tiempo muy cortos.
Y es aquí el lugar odnde interviene el efecto gravitatorio que poseen los agujeros negros. La intensa fuerza de gravedad que existe cerca de un agujero negro puede llegar a formar partículas reales a partir de las partículas que son virtuales.
Origen de la radiación de Hawking
Una de las consecuencias del principio de incertidumbre de Heisenberg son las fluctuaciones cuánticas del vacío las cuales consisten en la creación de pares partícula-antipartícula a partir del vacío. Estas partículas son «virtuales«, pero la gravedad del agujero negro las transforma en reales. Tales pares se desintegran entre sí, y reintegran la energía que tomaron prestada para su formación.
Pero, existe la probabilidad de que un miembro del par se forme en el interior y el otro en el exterior causando que uno de los componentes del par pudiera escapar del agujero negro. Cuando la partícula logra escapar, la energía vendrá del agujero negro. Entonces el agujero negro deberá perder energía para compensar la creación de las dos partículas que separó.
Según esta teoría, un agujero negro va perdiendo masa, a un ritmo inversamente proporcional a esta, debido a un efecto cuántico. Cabe mencionar que la disminución de masa de un agujero por radiación de Hawking únicamente puede ser perceptible en escalas de tiempo y tan solo en agujeros negros de tamaño microscópico remanentes quizás de la época inmediatamente posterior al Big Bang.
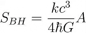
Formula
La fórmula es la parte principal para entender los agujeros negros y representa el punto más alto en la carrera de Hawking, quien trabajó con su colega Jacob Bekenstein, conectando importantes unidades termodinámicas como la entropía, representada por la inicial S, hasta propiedades físicas de un agujero negro, es decir, su área (A). Las otras letras que componen la fórmula son constantes del universo; k es la constante Boltzmann, c es la velocidad de la luz, ħ es la constante Planck reducida y G es la constante de la gravitación universal.

Importancia de la radiación de Hawking
Ha sido uno de los logros más importantes en el área de la física en el siglo XX pues ha permitido conocer más profundamente la teoría que explica todo el universo. La radiación que emana de los agujeros negros ha sido la teoría que ha desafiado el sentido común de miles de científicos a nivel mundial.
Ha permitido asegurar la información sobre los agujeros negros y desempeña una importante teoría cuántica dentro del universo.





