Discovery of Hawking radiation
Stephen Hawking’s discovery and his radiation began with a very simple question: do black holes emit heat? Some time ago, it was determined that black holes were attached to the second law of thermodynamics, which means that entropy or the measure of disorder could only increase with time, and therefore, everything that has entropy must also have a temperature.
In the 1970s, Hawking, aided by mathematics, helped by mathematics, took the temperature of a black hole. He did this by mixing a series of ideas from Einstein’s theory of relativity and quantum mechanics which describes how the smallest components of the universe work.
These are the two main theories that seek to find the way the universe works and that have been sought by scientists for decades. And both theories come into play on the event horizon of a black hole, the limit beyond which gravity is so strong that not even light can escape.
Explanation
This theory revolutionized the knowledge of black holes. Based on the General Relativity published by Albert Einstein, it was thought that nothing could escape the black holes. But Hawking claimed in 1975 that black holes were capable of emitting radiation, a phenomenon that was dubbed “Hawking radiation“.
It arises as a result between general relativity and quantum mechanics or quantum gravitation. This theory tells us that black holes are not entirely black, but on the contrary can emit radiation, which is what we know by the name of Hawking radiation.
There is not yet a theory about quantum gravity, but there is a first attempt to know what are the quantum effects on particles and radiation in space. Hawking related quantum concepts to general relativity in the study of black holes in 1975 and discovered an important relationship between gravity and thermodynamics that leads to Hawking radiation.
In addition, to understand Hawking radiation we must also understand that vacuum does not exist, and quantum mechanics is what tells us that vacuum is full of virtual particles. Virtual particles are exactly the same as real ones, with the only difference that they appear and disappear in very short periods of time.
And it is here where the gravitational effect of black holes intervenes. The intense force of gravity that exists near a black hole can create real particles from virtual particles.
Origin of Hawking radiation
One of the consequences of Heisenberg’s uncertainty principle is the quantum fluctuations of the vacuum which consist in the creation of particle-antiparticle pairs from vacuum. These particles are “virtual“, but the gravity of the black hole transforms them into real ones. Such pairs disintegrate each other and reintegrate the energy they borrowed for their formation.
But, there is a probability that one member of the pair will form on the inside and the other on the outside, causing one of the components of the pair to escape from the black hole. When the particle escapes, the energy will come from the black hole. Then the black hole will have to lose energy to compensate for the creation of the two particles it separated.
According to this theory, a black hole loses mass, at a rate inversely proportional to it, due to a quantum effect. It is worth mentioning that the decrease in mass of a hole by Hawking radiation can only be perceptible in time scales and only in microscopically sized black holes perhaps remaining from the time immediately after the Big Bang.
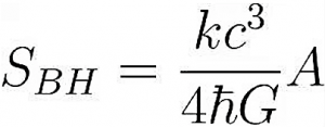
Formula
The formula is the main part for understanding black holes and represents the highest point in Hawking’s career, who worked with his colleague Jacob Bekenstein, connecting important thermodynamic units such as entropy, represented by the initial S, to the physical properties of a black hole, i.e., its area (A). The other letters that compose the formula are constants of the universe; k is the Boltzmann constant, c is the speed of light, ħ is the reduced Planck constant and G is the constant of universal gravitation.

Importance of Hawking radiation
It has been one of the most important achievements in the area of physics in the twentieth century because it has allowed to know more deeply the theory that explains the whole universe. The radiation emanating from black holes has been the theory that has challenged the common sense of thousands of scientists worldwide.
It has made it possible to secure information about black holes and plays an important quantum theory within the universe.





