Quién propuso la ley de coulomb
Charles Augustin de-Coulomb, un físico e ingeniero de origen francés que nació en el año 1736, fue el encargado de formular y darle nombre a la fórmula matemática que describe la acción de las cargas eléctricas en el año 1785, gracias a una balanza de torsión con la cual realizaba los experimentos por medio de la medición de la fuerza de atracción o de repulsión que sufrían dos cargas eléctricas. A esta ley se le denomina Ley de Coulomb y también a la unidad de carga eléctrica le denominamos culombio.
Historia
Coulomb desarrolló la balanza de torsión para determinó las propiedades que tenía la fuerza electrostática. Consistía en una barra que cuelga de una fibra que tenía la capacidad de torcerse. Si la barra gira, la fibra tiende a hacerla regresar a su posición original, con lo que conociendo la fuerza de torsión que la fibra ejerce sobre la barra, se puede determinar la fuerza ejercida en un punto de la barra. La ley de Coulomb es también conocida como ´´ley de cargas´´ y está relacionada con las cargas eléctricas de un material, es decir, depende de si sus cargas son negativas o positivas.
Enunciado de la ley de Coulomb
El enunciado de la ley de Coulomb nos dice lo siguiente: la fuerza que se ejerce entre dos cargas eléctricas diferentes es llanamente proporcional a la multiplicación de ambas cargas y, al mismo tiempo, es contrariamente proporcional al cuadrado de la distancia que las separa.
Esta ley de Coulomb implica que si coexisten dos cargas que poseen el mismo signo, éstas se repelen entre sí, es decir, se alejan. Por el contrario, si tenemos dos cargas de diferente signo, ambas se atraen. De esta manera, la fuerza eléctrica de atracción o repulsión depende de dos factores: la intensidad de la carga eléctrica y la distancia existente entre ambas.
F = k (q x q’) / r^2
Donde k es el coeficiente de proporcionalidad.
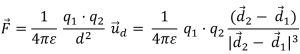
Fórmula
La fórmula de la ley de Coulomb es la siguiente:

En la cual:
- F = es el vector Fuerza que sufren las cargas eléctricas. En función del signo (cargas positivas o negativas) puede ser de atracción o de repulsión..
- q = son las cargas sometidas al experimento.
- Epsilon = permitividad.
- ud = es el vector director que une las cargas q1 y q2.
- d = corresponde a la distancia entre las cargas.
Unidades
La unidad de la ley es conocida con el nombre de Coulomb. Es una unidad de medida que proviene del Sistema Internacional de Unidades para la magnitud física cantidad de electricidad o carga eléctrica. Se representa por medio del símbolo es C, que debe su nombre al francés Charles–Augustin de Coulomb.
Según la definición se puede expresar:
1 C = 1 A · s
En términos de capacidad y voltaje, se expresa:
1 C = 1 F · V
Explicación de la ley de Coulomb
Los fenómenos eléctricos que experimentan los cuerpos tienen su explicación en su estructura atómica. Los cuerpos están formados por átomos y en ellos existen protones que tienen carga positiva y electrones que tienen carga negativa. Las cargas eléctricas del mismo tipo se repelen y las cargas eléctricas de distinto tipo se atraen.
Coulomb investigó los valores de estas fuerzas y determinó que están influenciadas por sus cargas eléctricas y la distancia que las separa. En 758 enunció su ley: La fuerza entre dos cargas eléctricas es directamente proporcional a las cargas e inversamente proporcional al cuadrado de la distancia que las separa, dependiendo de una constante k según el medio en que estén presentes.
Para qué sirve la ley de Coulomb
Generalmente es utilizada en el uso de pilas que se utilizan de manera común en los aparatos eléctricos como los radios, grabadoras y televisores. Es utilizado en la vida diaria cuando tratamos de poner un imán en algún lugar y por más que intentemos hacerlo no se puede, la explicación de este fenómeno se da porque este lugar tiene la misma carga que el imán en el lado por el que queremos pegarlo, y solo cuando pongamos el imán del lado contrario, habrá un contacto.
Ejemplos
Algunos ejemplos son:
- Cuando intentas manipular una bolsa de polietileno se desprenden trocitos que en la fabricación no se quitaron adecuadamente, debes luchar bastante para quitarte un trozo que se te «Pegó», ello se debe a que en alguna medida todos estamos «cargados» por la fricción de nuestra ropa, del aire, etc. esas cargas son opuestas a las del plástico y éste es atraído hacia nosotros y se nos pega.
- Cuando se frota una regla plástica contra la ropa se observa como atrae pedacitos de papel colocados sobre una mesa.
- Cuando se colocan dos globos inflados y se frotan se puede observar la acción de la fuerza coulombiana.





