Características de la fuerza electromotriz
Para que la relación de fuerza electromotriz tenga lugar, se requiere la existencia de una diferencia de potencial entre dos polos, donde uno es negativo y uno positivo, con la finalidad de que sea capaz de propiciar las cargas eléctricas por medio de un circuito abierto o cerrado.
Los circuitos de la fuerza electromotriz pueden ser tanto abiertos como cerrados, un circuito abierto se caracteriza por generar una corriente eléctrica, la cual al estar interrumpida o no comunicada por un medio por un medio conductor eléctrico, no circula. Esto propicia que no pueda producir la debida continuidad del flujo de energía, produciendo que esta no sea aprovechada por la corriente eléctrica y no sea efectiva la conexión al verse abierta. En cambio, el circuito eléctrico cerrado o en paralelo funciona correctamente debido a que la corriente eléctrica avanza desde la fuente generadora de energía, por ejemplo una batería o pila; el hilo conductor hacia los receptores, por ejemplo, la bombilla, pasa por el interruptor y da vuelta al generador donde se encuentra conectada, proporcionando así la efectividad del circuito eléctrico.
Cómo se mide la fuerza electromotriz
La fuerza electromotriz se mide o calcula a partir de un voltaje, el cual es llamado potencial o tensión. La fuerza con las cargas eléctricas hacen su camino desde la unidad de carga negativa al polo positivo. Este es dividido por su valor en culombios de dicha carga, (siendo esto representado en julios/culombio). Se resume al hablarse de voltios (V), lo cual es equivalente a julios entre culombio (J/C).
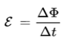
Formula
La fuerza electromotriz en un circuito cerrado es equivalente a la variación del flujo de inducción del campo magnético. Esto se expresa con la siguiente fórmula que alude a la ley de Faraday:

Esta fórmula también puede tener el signo de menos «-».
Fuentes
La fuerza electromotriz puede ser producida por diferentes fuentes:
- Fuente de fuerza electromotriz directa: Obtiene el flujo de carga eléctrica a partir de dispositivos directos, como el uso de pilas, baterías recargables, no recargables y baterías solares, acumuladores. Esta hace que la corriente generada sea de un valor constante y un intervalo de duración relativamente grande y proporcional al tamaño y fuerza del dispositivo generador.
- Fuente de fuerza electromotriz alterna: En este caso, la corriente eléctrica que se obtiene es variable al tiempo, como el caso de los generadores de los automóviles, que son encargados de proporcionar electricidad para su adecuado funcionamiento.
- Fuente de fuerza electromotriz variable no alterna: Se tiene una fuente de energía que es variable, como el caso de los encendedores piezoeléctricos de una cocina, ya que producen una descarga eléctrica en el aire, la cual es variable a la intensidad y sometida al entorno; adquiriendo así el factor de poca durabilidad.
Cómo se genera la fuerza electromotriz
Puede ser generada a través de la estática, donde las fuerzas de atracción y repulsión sobre otras cargas eléctricas son generadas por el frotamiento, por ejemplo, cuando se frota un peine de plástico y se genera una carga eléctrica estática. Asimismo, la fuerza electromotriz puede ser producida a través de inducción, donde las cargas eléctricas adquieren movimiento al encontrarse en un campo magnético viable.
Ejemplos
- Baterías o pilas: Se catalogan como fuentes de energía electromotriz dado a que son capaces de generar energía por medios químicos. Algunas de ellas, como en el caso de las pilas conformadas por carbón-zinc y las alcalinas, al ser consumidas a su capacidad máxima, no puede ser recargables. Por su lado, las pilas compuestas de níquel-cadmio (NiCd), níquel e hidruro metálico (Ni-MH) y ión de litio, son capaces de ser recargables.
- Máquinas electromagnéticas: Son máquinas generadoras de energía eléctrica a base de medios magnéticos y mecánicos, como es el caso de los dinamos y generadores pequeños, como por ejemplo, los utilizados frecuentemente en los vehículos automotores, plantas eléctricas portátiles, entre otros. Son capaces de suministrar de energía eléctrica a estructuras grandes, como industrias y ciudades.





