Definición
Una fórmula estructural es un tipo de fórmula que tiene la capacidad de poder mostrar una imagen más completa de un compuesto. Algunos tipos de fórmulas estructurales pueden también brindar una mejor imagen de cómo se encuentran dispuestos los átomos de una determinada molécula en el espacio. Este tipo de fórmula es principalmente utilizada para representar compuestos moleculares. Las fórmulas estructurales completas son aquellas que pueden mostrar todos átomos los de una determinada molécula, los tipos de enlaces que los unen y la forma en la que están conectados entre sí.
Características de la fórmula estructural
Entre las principales características de las fórmulas estructurales se mencionan las siguientes:
- Son un tipo de representación gráfica que muestran las estructuras moleculares.
- En ella se encuentran los enlaces químicos que hay dentro de las moléculas.
- Puede indicar el orden en el que los átomos se encuentran en el espacio.
- Posee una serie de símbolos y líneas cortas que se encargan de representar los enlaces químicos, en otras palabras, para representar los enlaces simples, dobles, triples, etc.
- La representación que se hace de los átomos se hace de forma tridimensional.
- En las fórmulas estructurales se pueden utilizar enlaces de tipo covalente.
- Representan la estructura molecular.
Para qué sirve
Una forma estructural sirve para poder realizar una identificación de la ubicación en donde se encuentran los enlaces químicos que existen entre los átomos de una molécula, en otras palabras, se encargan de mostrar la manera en la que están dispuestos y al mismo tiempo enlazados estos átomos en un compuesto químico. Sin la fórmula estructural, no sabríamos cual es la disposición espacial de los átomos en el compuesto. Gracias a este tipo de fórmula, es posible que los químicos puedan visualizar todos los cambios que se producen en los compuestos.
Partes
Las fórmulas estructurales son una especie de fórmula plana que están compuestas de líneas sencillas que se encargan de representar un enlace sencillo que hay entre dos átomos y pueden tener dos o tres líneas colocadas en forma paralela por medio de las cuales se logra representar los enlaces dobles y triples que estén presentes. Otra de sus partes puede ser el punto, el cual representa a los electrones desapareados.
Tipos de fórmula estructural
Existen diferentes maneras de poder representar la fórmula estructural que tiene un compuesto. A continuación se presentan los diferentes tipos de fórmulas estructurales.
- Fórmula estructura con puntos: este tipo de fórmula estructural utiliza una serie de puntos de electrones para poder representar los electrones que intervienen en el enlace entre diferentes átomos.
- Fórmula estructural de enlace lineal: esta fórmula estructural de enlace lineal es muy utilizada y utiliza una serie de líneas y de enlaces que muestran los enlaces covalentes que existen entre los átomos lo que permite obtener una presentación más sencilla y menos recargada en la fórmula estructural. Además, en lugar de dibujar puntos se dibujan líneas y cada línea será el equivalente a un par de electrones que se encuentren en el enlace.
- Fórmula estructural condensada: en este tipo de fórmula estructural se continúan utilizando una serie de líneas entre los átomos que están enlazados. Es una forma más sencilla y más corta de poder dibujar la fórmula estructural que tiene el enlace lineal debido a que omite los enlaces de carbono y los de hidrógeno.
En qué se diferencia de una fórmula química
La principal diferencia que existe entre ambas es que, la fórmula estructural de un compuesto es un tipo de representación gráfica que muestra la estructura molecular de los átomos en cambio, la fórmula química es una representación de todos los elementos que son parte de un determinado compuesto y además muestran la proporción en que éstos se encuentran dependiendo de la cantidad de átomos que forman parte de la molécula, además, ésta última muestra los enlaces químicos y su distribución en el espacio.
Importancia
La fórmula estructural es importancia porque es la que se encarga de poder representar de forma gráfica la estructura de las moléculas para poder entonces mostrar cómo los átomos se encuentran ordenados y distribuidos. Las fórmulas estructurales son útiles porque explican las propiedades y la estructura del compuesto que las fórmulas empíricas y moleculares no siempre pueden representar.
Ejemplos de fórmula estructural
Fórmula estructural del metano
El metano es un hidrocarburo de tipo alcano, en otras palabras, es un gas y su fórmula estructural es:

Fórmula estructural del agua
La fórmula estructural del agua indica la presencia de dos átomos de hidrógeno y un átomo de oxígeno.

Fórmula estructural del benceno
La fórmula estructural para el benceno es:

Fórmula estructural del propano
Su fórmula es la siguiente:

Fórmula estructural del etanol
También conocido con el nombre de alcohol etílico su fórmula estructural es la siguiente:

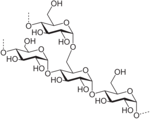
Fórmula estructural del almidón
Su fórmula estructural es la siguiente:

Fórmula estructural del heptano
Su fórmula es:

Fórmula estructural del fenol
La siguiente fórmula estructural pertenece al fenol:

Fórmula estructural del naftaleno
Su fórmula estructural es la siguiente:






